ORC-PLUS – Organic Rankine Cycle – Prototype Link to Unit Storage
L’impianto ORC-PLUS, installato presso il Centro Ricerche ENEA Casaccia, è stato finanziato dalla Comunità Europea attraverso il progetto ORC-PLUS (Organic Rankine Cycle – Prototype Link to Unit Storage) nell’ambito del Programma Horizon2020. L’obiettivo del progetto è il miglioramento delle performance degli impianti a concentrazione solare per la produzione di energia elettrica riducendo i costi e incrementando la dispacciabilità energetica.
Questo tipo di tecnologia si basa sull’utilizzo della radiazione solare come unica o prevalente fonte di energia al posto dei tradizionali combustibili fossili; per questo motivo il funzionamento è soggetto alla naturale variabilità della fonte primaria di energia. Al fine di attenuare le fluttuazioni intrinseche del sistema e incrementare la produzione, è fondamentale accoppiare a questa tipologia di impianto un sistema di accumulo termico in grado di accumulare energia in presenza di radiazione solare, per renderla poi disponibile nei periodi di bassa insolazione e/o assenza di radiazione solare.
L’obiettivo del progetto ORC-PLUS è lo studio del comportamento di un nuovo sistema di accumulo termico inserito all’interno di un impianto solare a concentrazione e avente come utenza finale un sistema ORC per la produzione di energia elettrica. Tale sistema di accumulo termico è stato sviluppato e brevettato da ENEA per l’utilizzo in impianti di piccola-media taglia.
Come funziona
Il sistema brevettato e realizzato presso il C.R. ENEA Casaccia presenta un unico serbatoio di accumulo al cui interno è confinato il fluido di stoccaggio termico, costituito da una miscela di sali ternari a base di nitrati di sodio, potassio e calcio che ha una temperatura di fusione compresa tra 130°C e 140°, e due scambiatori di calore per le fasi di caricamento e scaricamento dell’energia immagazzinata.
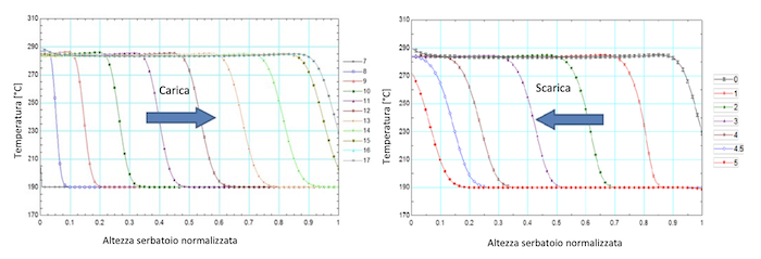
L’accumulo di energia termica all’interno del serbatoio avviene sfruttando la naturale tendenza dei sali fusi a stratificare in funzione della temperatura. Lo scambiatore di carica è posizionato nella parte bassa del serbatoio, mentre quello di scarica nella parte alta, come mostrato nello schema sottostante.

Schema funzionale dell’impianto

Scambiatore di carica
Si tratta di un sistema di accumulo termico di tipo indiretto; il fluido termovettore proveniente dal campo solare ad elevata temperatura circola all’interno dello scambiatore di carica nella parte inferiore del serbatoio e trasferisce l’energia termica raccolta dal campo solare al fluido di stoccaggio che riscaldandosi si sposta verso l’alto a causa dell’instaurarsi dei moti convettivi, innescando la stratificazione e la formazione del termoclino fino ad arrivare alla carica completa del sistema con il sale nella condizione di temperatura massima di stoccaggio. Analogamente, nella fase di scarica il fluido termovettore proveniente a bassa temperatura dall’ORC fluisce all’interno dello scambiatore, posto nella parte alta del serbatoio che risulta essere quella a più alta temperatura, si scalda e trasferisce così l’energia termica accumulata in precedenza al sistema di produzione di energia elettrica. Il sale passando all’interno dello scambiatore si raffredda e, a causa dell’instaurarsi dei moti convettivi, si muove verso il basso determinando lo spostamento della zona di termoclino anch’essa verso il basso fino alla completa scarica del sistema.

Scambiatore di scarica
La sezione di prova, installata presso il C.R. ENEA Casaccia, è composta da un serbatoio contenente i due scambiatori, una resistenza elettrica che fornisce energia termica all’olio simulando il campo solare di un impianto CSP e da un aerotermo che consente di disperdere il calore accumulato nel serbatoio, simulando il comportamento del sistema ORC. Come fluido termovettore è attualmente utilizzato il Delcotherm Solar E15, un olio diatermico a elevata purezza per impianti ecologici a bassa tossicità e biodegradabile, che può raggiungere una temperatura di 300°C.
Possibili applicazioni
L’infrastruttura può essere utilizzata per testare diverse tipologie di materiali per l’accumulo termico (miscele di sali fusi o olii diatermici) e di fluidi termovettori (olii siliconici, paraffinici e difenilici). Si può, inoltre, prevedere di effettuare campagne di caratterizzazione di fluidi termici eterogenei, composti da olii/miscele di sali fusi e materiali a cambiamento di fase, al fine di quantificare l’incremento di densità di accumulo associato a nuove soluzioni tecniche.
Un altro aspetto applicativo riguarda la caratterizzazione di cicli ORC di piccola taglia per identificarne la risposta dinamica al variare dei parametri operativi e del livello di carica del sistema di stoccaggio.
Attività in corso
Attualmente è in corso una campagna di sperimentazione al fine di studiare ed analizzare il comportamento del sistema di stoccaggio, in particolare il termoclino, inserito all’interno di un circuito che simula un reale impianto solare a concentrazione.

E’ stato, inoltre, realizzato un modello di simulazione capace di valutare le condizioni di temperatura all’interno del serbatoio, in ingresso e uscita dal campo solare, la produzione elettrica durante una giornata di esercizio dell’impianto, e le performance energetiche annuali dell’intero impianto.

Altezza serbatoio normalizzata
Attività future
Si prevede nel futuro di effettuare un potenziamento/aggiornamento dell’impianto finalizzato all’introduzione nel serbatoio di accumulo di volumi finiti di materiale a cambiamento di fase per incrementarne la densità energetica. E’ prevista, inoltre, la sostituzione dell’attuale Delcoterm Solar E15 con olii siliconici per aumentare le temperature operative del sistema di stoccaggio e del ciclo ORC.
